Multiplying a matrix with another matrix may look complicated, but it's simple once you understand the trick. As an example, here is how you formally multiply two 2x2 matrices with each other:

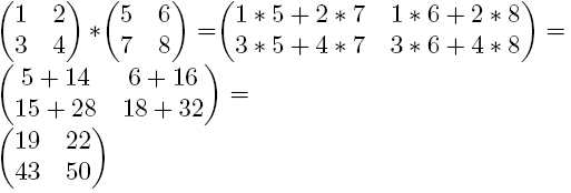
For the left matrix, you take every horizontal row, and multiply it with each vertical column. Multiplying a row with a column is simply done by multiplying the number at the first place of the row with the number at the first place of the column, adding that to the second number of the row times the second number of the column, et cetera. To give a concrete example:

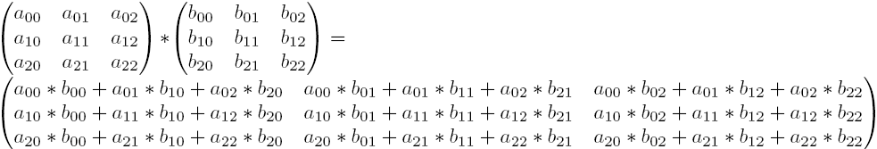
The constraint for being able to multiply two matrices is that the height of the first needs to be equal to that of the second. Other than that, there are no restraints. To illustrate the patern better, here is an example of two 3x3 matrices multiplied with each other:

In the application, you are asked to take the two highlighted numbers in the left and middle matrix, and add them to the highlighted number of the right matrix. This is a step by step way to calculate the multiplication of those matrices. To help a bit more, we provide another concrete example: this time of a multiplication between 2 3x3 matrices:

Go back to the page index