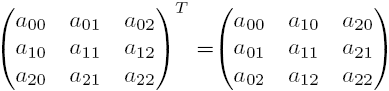
To transpose a matrix, you need to change the position of every element a(xy) to a(yx).
The matrix is in a way mirrored throughout its diagonal. For example:




Go back to the page index